Astrônomos identificaram um terceiro planeta orbitando a estrela HD 176986, um sistema já conhecido por abrigar duas super-Terras. A descoberta fortalece a ideia de que sistemas planetários compactos e ricos em mundos rochosos podem ser mais comuns do que se imaginava, especialmente ao redor de estrelas menores que o Sol.
Localizada a cerca de 91 anos-luz da Terra, a HD 176986 é uma estrela do tipo K, ligeiramente menor, menos quente e menos massiva que o nosso Sol. Por isso, ela se torna um alvo estratégico para estudos de longo prazo, já que estrelas desse tipo facilitam a detecção de planetas por meio da técnica de velocidade radial. Principais características do sistema HD 176986:
- Estrela do tipo K2.5V, com cerca de 4,3 bilhões de anos;
- Sistema com três exoplanetas do tipo super-Terra;
- Observações acumuladas ao longo de quase 19 anos;
- Detecção feita com instrumentos de alta precisão (HARPS e HARPS-N).
Um novo mundo entra em cena
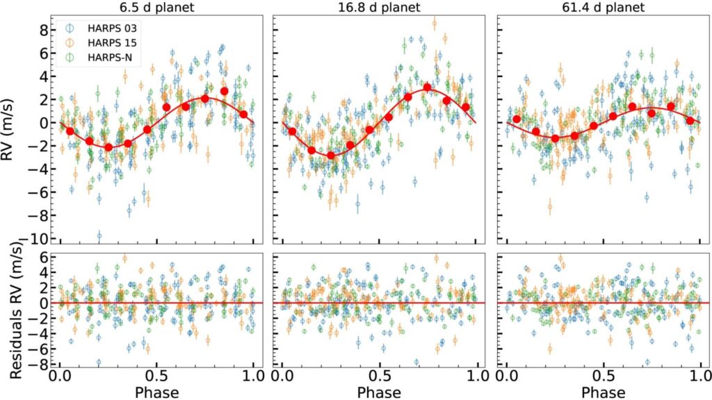
O recém-descoberto planeta, chamado HD 176986 d, completa uma órbita ao redor da estrela em aproximadamente 61 dias, a uma distância de cerca de 0,28 unidades astronômicas. Ele possui uma massa mínima cerca de sete vezes maior que a da Terra, o que o classifica como uma super-Terra, categoria de planetas rochosos maiores que a Terra, porém menores que Netuno.

A temperatura de equilíbrio estimada para esse planeta é de 363 K, valor elevado, mas ainda relevante para estudos sobre atmosferas e composição química. Embora não seja um candidato direto à vida, ele se encontra em uma região orbital que ajuda a compreender melhor os limites da chamada zona habitável em estrelas do tipo K.
Sistema compacto e dinâmico
Além do novo planeta, os pesquisadores refinaram os dados dos dois mundos já conhecidos. O planeta HD 176986 b possui uma órbita extremamente curta, de cerca de 6,5 dias, e temperatura próxima de 767 K. Já HD 176986 c orbita a estrela em torno de 17 dias, com temperatura estimada em 558 K.
Esse padrão revela um sistema compacto, com planetas relativamente próximos entre si e da estrela, algo cada vez mais observado em sistemas fora do nosso.
Além de ampliar o catálogo de exoplanetas, essa detecção demonstra a eficácia de monitoramentos prolongados. Em especial, ela mostra que levantamentos de velocidade radial de longo prazo são fundamentais para encontrar planetas com órbitas mais amplas, que normalmente passam despercebidos em observações curtas.
Do ponto de vista científico, sistemas como o da HD 176986 funcionam como verdadeiros laboratórios naturais, ajudando a responder questões centrais da astrofísica: como os planetas se formam, como migram e por que alguns sistemas são tão diferentes do nosso.

